巨力光电(北京)科技有限公司
首页
关于我们
产品展示
新闻资讯
技术文章
视频中心
在线留言
联系我们
关闭
当前位置:
首页
>
技术文章
> 太阳能电池分析技术(1):理想因子、开路电压与光强
太阳能电池分析技术(1):理想因子、开路电压与光强
更新时间:2021-11-26
阅读:27061
本系列文章将介绍用于有机和钙钛矿太阳能电池的不同光电表征技术,同时提取和分析重要的器件参数,例如稳态性能、瞬态光电压、瞬态光电流、电荷载流子迁移率、电荷密度、陷阱密度、阻抗、理想因子等。
JV曲线测量是太阳能电池的最常规的表征技术。
太阳能电池的短路电流 (Isc)、开路电压 (Voc)、填充因子 (FF)、最大功率点 (MPP)
和功率转换效率等重要参数都是由JV曲线获得。
Voc 是光伏器件中电流为零时电压
,如图1所示。
图1:光照和暗态下电流电压曲线(左:线性,右:对数)示意图,注明了上文提到的参数。
测量开路电压与光强度的关系可用于光照理想因子。理想因子是衡量
该器件是否接近理想的二极管,当以
复合电流为主(SRH复合)时
n
idL
= 2
,以扩散电流为主 (PN结无缺陷)
时
n
idL
= 1
,而实际中PN结势垒区总是存在复合中心,所以一般情况下n介于1和2之间
。在理想器件中,光照理想因子
n
idL
与通过暗态JV 曲线提取的理想因子
n
idd
相同的。在实际器件中,暗态和光照下的理想因子可能会发生偏差,由于光照理想因子不受串联电阻的影响,因此更容易分析。
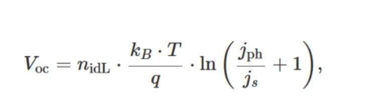
开路电压 Voc 的表达式是通过在肖克利方程中将电流设置为零来获得的,如下:
图2
其中
n
idL
是光照理想因子,
k
B
是玻尔兹曼常数,T 是温度,q 是单位电荷,
j
ph
是光电流,
j
s
是暗饱和电流。
假设光电流与光强是线性关系,且
j
ph
/
j
s
>> 1。
我们得到
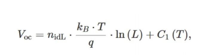
图3
L是归一化的光强度,
C
1
是不依赖于 L 变化的温度因子。请注意,
C
1与
光照为常量光系,但随温度变化。开路电压随温度降低而随光照强度增加。开路电压与光强度的斜率仅取决于光照理想因子和温度。
光照
理想因子
计算依据公式:
图4
光照理想因子进一步依赖于光的强度。例如,SRH 复合在低光强度下更为突出。通常计算平均值以获得理想的数值。
图5 显示了不同情况下模拟开路电压与光强度的关系。在图5 (f) 中,显示了光照理想因子,它是根据公式 (图4) 由 Voc 与光强度的平均斜率计算得出的。基本情况下理想因子恰好为 1。除"低并联电阻"和"深陷阱
"
的情况外,理想因子约为 1。如果复合预因子增加(b),则 Voc 较低,但 Voc 斜率保持不变。在"深陷阱"(c)的情况下,斜率(Voc vs. L)明显更陡,导致平均理想因子为 1.8。在"低并联电阻" (d) 的情况下,Voc 在较低的光强下严重下跌,平均理想因子的计算便没有意义。
图5:根据表 1 中所有情况下的光强度对开路电压进行模拟。 (F) 从模拟结果中获得的光理想因子 - 使用平均值。
因此,我们模拟结果表明,在研究 SRH 复合在器件中的影响时,
光照理想因子是非常有用的,
正如我们在"深陷阱"中发现的情况。只有当低并联电阻不隐藏效果的情况下,分析才有效。
上一篇:
日本SAN-EI 太阳光模拟器可实现全天候不间断的光照条件
下一篇:
浅析压电系数测试仪的基本原理与用途
首页
定位
留言
电话
询价
产品目录